Ћирилица Latinica
20.01.2026.
Politika

Leković o karipskom aranžmanu Aca Mijajlovića: Milioni, pasoši i politika

Autor: Redakcija 2 Ostavite komentar

Poslanik Demokrata Momčilo Leković ukazao je na, kako navodi, veoma simptomatičan i vremenski pažljivo pozicioniran poslovni aranžman kompanije "BEMAKS LLC" iz Ujedinjenih Arapskih Emirata, kojom rukovodi Aleksandar Mijajlović, a koji je zaključen svega tri dana nakon izbora 44. Vlade Crne Gore.

Leković podsjeća da je 3. novembra 2023. godine "BEMAKS" potpisao ugovor sa Vladom Svete Lucije o izgradnji stambeno-poslovnog kompleksa u glavnom gradu te karipske države, na lokaciji bivše škole u Kastrisu.

„Sam tajming ovog posla, neposredno nakon političkih promjena u Crnoj Gori, otvara ozbiljno pitanje da li je riječ isključivo o investiciji ili i o pažljivo osmišljenom planu B u uslovima povećanog političkog i pravosudnog rizika“, navodi Leković.

Prema ugovoru, "BEMAKS" se obavezao da izgradi 66 stanova, 14 poslovnih jedinica i prateći rekreativni prostor, pri čemu se projekat ne finansira klasičnom prodajom nekretnina, već kroz program ekonomskog državljanstva – Citizenship by Investment (CIP).

Leković ističe da se, u ovom modelu, povraćaj investicije ostvaruje isključivo putem najmanje 628 uspješnih CIP aplikacija, pri čemu pojedinačna aplikacija iznosi 100.000 dolara, odnosno 150.000 dolara za porodične aplikacije.

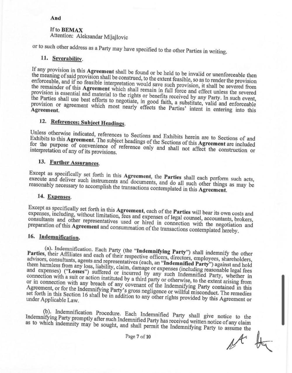
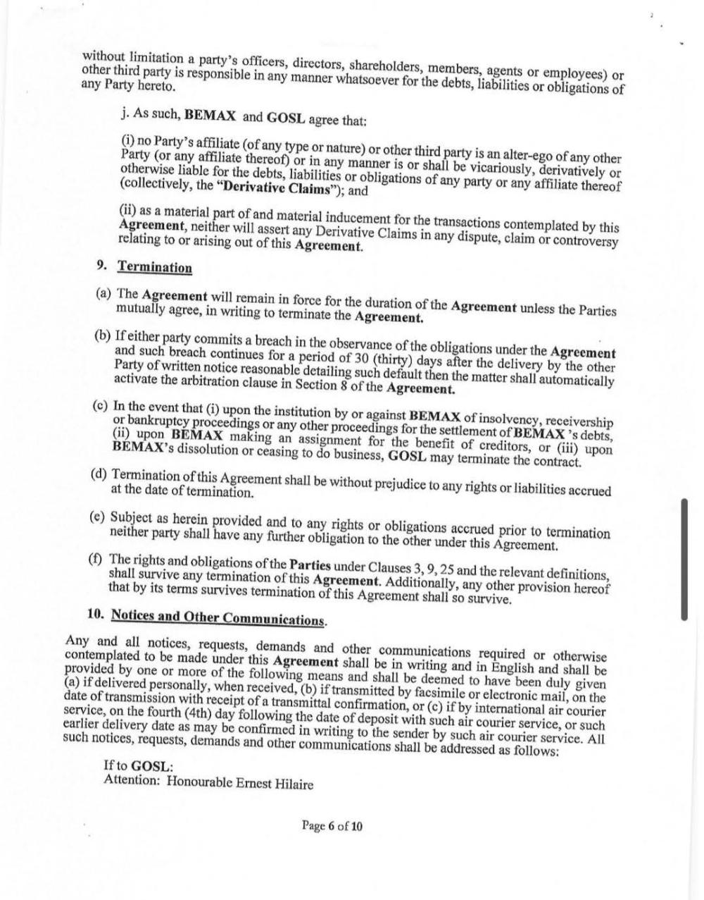
„Realni priliv sredstava za ovaj projekat kreće se između 78 i skoro 90 miliona dolara, što, nakon odbitka troškova gradnje, upravljanja, marketinga i provizija, ostavlja potencijalnu dobit od 30 do čak 50 miliona dolara. Riječ je, dakle, o jednom od najprofitabilnijih poslova koje je "BEMAKS" ikada realizovao, uz minimalan tržišni rizik“, naglašava on.

Međutim, kako dodaje, finansijska dobit nije jedina vrijednost ovakvih aranžmana. CIP programi, prema njegovim riječima, godinama se koriste kao mehanizam lične, porodične i političke sigurnosti.

„Novi pasoš ne briše krivičnu odgovornost, ali omogućava alternativnu jurisdikciju, veću mobilnost i mogućnost iznošenja kapitala i porodice iz zemlje u kojoj raste politički ili pravosudni pritisak“, ukazuje Leković.

On podsjeća da pasoš Svete Lucije omogućava bezvizni režim putovanja u više od 130 zemalja, uključujući Kinu i Rusiju, kao i uključivanje članova uže porodice u proces dobijanja državljanstva.

Dodatnu težinu čitavom slučaju, kako ističe, daje i činjenica da je Mijajlović u međuvremenu uhapšen u Crnoj Gori i da je javno priznao da je finansirao pojedine opozicione partije i medije, tvrdeći da je žrtva političkog progona.

Iako se državljanstvo formalno dodjeljuje nakon bezbjednosnih i finansijskih provjera, Leković naglašava da u CIP modelu ključnu ulogu ima upravo investitor, koji kontroliše izbor agenata, tok aplikacija i promociju projekta.

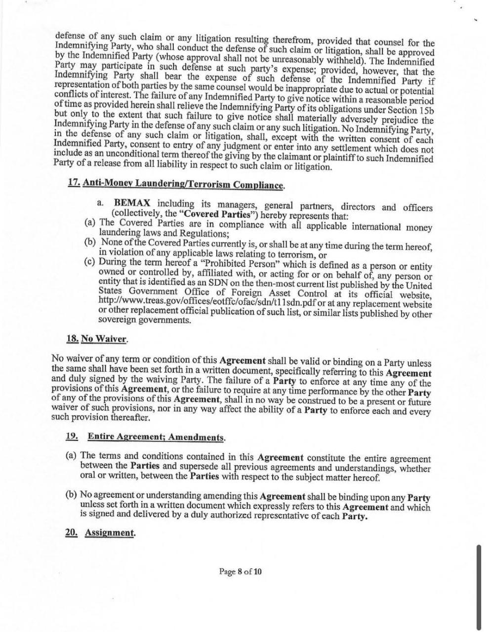
„Zato je legitimno pitanje da li je ovaj projekat bio samo mašina za zaradu ili i mehanizam za obezbjeđivanje drugog državljanstva ljudima iz Mijajlovićevog poslovno-političkog kruga“, navodi on.

Posebno osjetljivim smatra pitanje potencijalnih veza sa crnogorskom političkom elitom.

„Da li je karipski projekat služio kao diskretni kanal za ‘osiguranje’ prijatelja, saradnika i političkih saveznika – pitanje je na koje javnost i dalje nema odgovor, ali koje, s obzirom na konstrukciju posla, ne može biti olako odbačeno“, ističe Leković.

On zaključuje da je i sam Mijajlović svojim javnim nastupima otvorio dodatna pitanja: koje je medije i koje opozicione partije finansirao, u kom obimu i da li je novac koji je cirkulisao kroz političku i medijsku scenu Crne Gore povezan sa istim međunarodnim tokovima kapitala koji vode do Kariba.

„Ovaj ugovor razotkriva model u kojem se spajaju ogroman profit, državljanstva, politički uticaj i pažljivo odabran tajming. Ključno pitanje više nije šta piše u ugovoru, već ko je kroz njega trebalo da prođe“, zaključuje Leković.

Komentari
Tolo
Tolo: to su te Cg patriote koji oduzimaju državljanstva Crnogorcima koji steknu druga a oni milione pokraše! Naša država hitno da promijeni taj nakaradni zakon i dozvoli našoj djeci koja žive u inustranstvu naše državljansto
20.01.2026 12:41
Baranin
Baranin: Bravo najbolji poslanice!
20.01.2026 15:44
Ostavite komentar
Ime / nadimak:
Komentar:
Ћирилична верзија
Pišite nam
Podijelite sadržaj na:
Izdavač:
Srpska narodna čitaonica - Bar